Warping


The reverse mapping to determine the pixel in the source image corresponding to a given pixel in the destination image is done as follows.

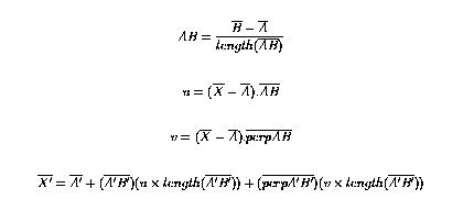
Let the pair of lines in the source and destination images be as shown, A'B' and AB. The source image pixel is X' and the destination image pixel is X.



Given X, the destination image pixel position, u and v are determined by the equations given below. Then X' in the source image is determined. The pixel in the souce image at X' is placed in the destination image at X.



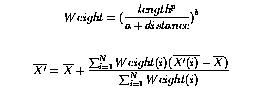
The weighting of the different lines is done as follows.





Wed Apr 29 1997